随着全球能源需求的增加以及环境问题的日益严峻,太阳能作为一种清洁、可再生的能源受到了广泛关注。光伏材料作为将光能转化为电能的关键材料,决定了太阳能电池的效率、成本和稳定性。光伏材料的研究涉及材料的合成、结构优化、缺陷控制、掺杂调控以及器件的稳定性提升等多个方面。
拉曼光谱是一种基于分子振动模式的表征技术,它通过检测材料分子在受到光子照射后的非弹性散射信号,提供有关材料化学键、结构、应力及缺陷的信息。在光伏材料的研究中,拉曼光谱以其非破坏性、高分辨率及灵敏度,被广泛用于从单晶硅到新兴钙钛矿材料的表征与分析。尤其在材料的微观结构、化学组成、杂质及缺陷等方面,拉曼光谱具有不可替代的作用。本文将详细探讨拉曼光谱在各类光伏材料中的具体应用,特别是其在晶体结构表征、缺陷分析、应力测量等方面的贡献。
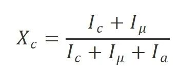
1晶化率
晶化率(Crystallinity)是材料中晶体部分的占比,描述了材料内部有序晶体与无序非晶区域的相对比例。对于光伏材料,晶化率的提高通常意味着载流子迁移率的增加、复合率的减少,从而提升光电转化效率。因此,准确评估材料的晶化率是优化光伏材料的关键步骤。拉曼光谱通过分析材料中晶态和非晶态的拉曼特征峰,可以有效计算晶化率,特别是对于硅基和其他半导体材料,如多晶硅和非晶硅的晶化率表征具有重要意义。
拉曼光谱通过检测硅材料中晶态和非晶态硅的不同振动模式,可以提供材料的晶化信息。晶体硅(如单晶硅或多晶硅)在拉曼光谱中表现为一个尖锐的、强度较高的特征峰,典型地出现在520 cm-1处,对应硅原子的声子振动模式。非晶硅由于其无序结构,拉曼光谱中表现为一个较宽的特征带,一般出现在480 cm-1左右。此外还存在微晶硅,微晶硅的拉曼特征峰通常出现在510 cm-1,比晶态硅的520 cm-1峰更宽。通过计算晶体硅和微晶硅与非晶硅的峰强度比,从而可以量化材料的晶化率。

Xc—晶化率
IC—520cm-1处的峰强度
Iμ—510cm-1处的峰强度
Ia—480cm-1处的峰强度
2材料的掺杂、缺陷表征
掺杂是光伏材料中调控电学性能的关键手段,通过掺入少量杂质元素,可以调整材料的导电性、能带结构及光吸收性能。然而,掺杂过程中也可能引入缺陷,影响光伏器件的效率。拉曼光谱凭借其对材料晶格振动模式的敏感性,能够识别和分析掺杂带来的晶体结构变化、掺杂原子的局部环境以及缺陷的产生。
▍掺杂元素的拉曼特征
拉曼光谱能够通过检测特征振动模式来表征掺杂元素在光伏材料中的位置和分布。
硅基材料:在硅材料中,常见的掺杂剂有磷(n型掺杂)和硼(p型掺杂)。掺杂会引起局部应力场和晶格失配,导致拉曼特征峰的位置、强度及宽度变化。磷和硼的掺杂可能导致520 cm-1处Si-Si键拉曼峰的微小偏移和展宽,通过这些变化可以定量分析掺杂浓度和应力场分布。
钙钛矿材料:钙钛矿中常掺入金属离子(如锂、钠)或卤素阴离子(如溴、氯)来调控带隙和稳定性。掺杂离子通常会改变钙钛矿晶体的振动模式,从而在拉曼谱中表现出新的特征峰或现有峰的位移。例如,掺氯可能会引起I-Pb-I振动模式峰位的变化,反映出掺杂后的晶体畸变情况。
掺杂对缺陷的影响
掺杂过程中可能会引入结构缺陷,如空位、间隙原子和位错,这些缺陷会对光伏器件的载流子复合速率产生不利影响,降低电池效率。拉曼光谱通过峰宽的展宽或峰位的位移能够识别这些缺陷。 空位和间隙缺陷:掺杂可能引入空位(如CdTe中Cd空位)或间隙原子,导致晶体局部结构不稳定。拉曼光谱的峰宽变化反映了晶格无序度的增加,可用于定量分析缺陷浓度。 位错与晶界:在多晶薄膜光伏材料中,掺杂还可能引起晶界附近的位错和局部应力集中。这些缺陷同样可以通过拉曼光谱的展宽和位移表现出来,帮助优化掺杂工艺。
▍实时监测掺杂过程中缺陷的产生
拉曼光谱的非破坏性特点使其可以用于实时监测掺杂过程中缺陷的产生和演化。例如,在CIGS薄膜光伏器件的制备过程中,拉曼光谱能够跟踪Cu、In、Ga等元素的分布变化及相应缺陷的形成,提供掺杂浓度和均匀性的信息。这种实时监测技术对于优化掺杂工艺、提高光伏器件的均匀性和性能具有重要意义。
3应力与应变测量
光伏材料在制造、封装和运行过程中会受到各种机械应力的影响,这些应力可能导致晶体结构的变化和性能衰减。拉曼光谱是测量材料内部应力和应变的有效工具,通过检测拉曼峰的红移或蓝移,量化材料中存在的应力场。
应力测量的原理:当材料受到外部应力作用时,晶格常数发生变化,导致拉曼散射中声子振动频率的改变。例如,在硅材料中,当施加压应力时,520 cm?1的拉曼峰会向高波数方向移动;当施加拉应力时,拉曼峰向低波数方向移动。通过这种位移的量化,可以计算材料中的应力。
薄膜应力:薄膜光伏材料如CIGS和CdTe常常沉积在异质衬底上,这会引入较大的应力。拉曼光谱可以用于监测薄膜中的残余应力及其对光伏器件性能的影响。例如,在CIGS薄膜中,拉曼峰的位移能够反映薄膜内部的应力梯度,这对于调整薄膜沉积工艺以减少应力、提升材料性能具有重要意义。
4结论
拉曼光谱在光伏材料研究中的应用涵盖了从晶体结构表征、缺陷分析到应力与应变测量的各个方面。随着光伏技术的不断发展,拉曼光谱作为一种灵敏、高效的表征工具,将继续在新材料的开发和器件性能优化中发挥不可替代的作用。
